當前位置: 主頁 > 技術&應用 >
 

學子專區—ADALM2000實驗:主動整流器

本文作者:Doug Mercer       點擊: 2023-01-19 10:56
前言:
作者:ADI顧問研究員Doug Mercer 及系統應用工程師Antoniu Miclaus
目標
本實驗活動的目標為研究主動整流器電路。具體而言,主動整流器電路整合了運算放大器、低閾值P通道MOSFET和回饋迴路,以合成一個正向壓降低於傳統P-N 接面二極體的單向電流閥或整流器。
 
背景知識
電源使用傳統二極體整流交流電壓以獲得直流電壓時,必須對某些本身效率低下的部分進行整流。標準二極體或超快速二極體在額定電流時可能具有1 V或更高的正向電壓。二極體的該正向壓降與交流電源串聯,這會降低潛在的直流輸出電壓。此外,該壓降與透過二極體提供的電流的乘積表示功耗和發熱量可能相當大。
 
蕭特基二極體的較低正向電壓是對標準二極體的改善。但是,蕭特基二極體同樣有一個內建的固定正向電壓。利用FET較低的傳導損耗,與輸入交流波形同步地主動切換MOSFET元件以模仿二極體,可以實現更高的效率。主動整流常被稱為同步整流,是指根據極性在交流波形的適當時間點開關FET元件,因此其可充當整流器,僅在所需方向上傳導電流。
 
與接面二極體的情況不同,FET的傳導損耗取決於導通電阻(RDS(ON))和電流。選擇低RDS(ON)的足夠大FET可將正向壓降降低到任何二極體所能實現的壓降的一小部分。因此,同步整流器的損耗將比二極體更低,有助於提升整體效率。
 
由於必須同步用於切換FET的閘極訊號,因此相較於基於二極體的整流器,電路設計更為複雜。與必須去除二極體所產生熱量而增加的複雜性相比,此種複雜性常常更容易處理。隨著效率要求不斷提升,很多情況下使用同步整流是最好的選擇。
 
材料
ADALM2000 主動學習模組
無焊試驗板
跳線
一個具有軌對軌輸入/輸出的 AD8541 CMOS運算放大器
一個ZVP2110A PMOS電晶體(或等效元件)
一個4.7 µF電容
一個220 µF電容
一個10 Ω電阻
一個2.2 kΩ電阻
一個47 kΩ電阻
一個1 kΩ電阻
 
說明
在試驗板上建構圖1所示的簡易半波整流器電路。主動閘極驅動電路使用運算放大器(AD8541)感測來自AWG輸出的交流輸入波形何時高於輸出電壓VOUT(在正值方向上),進而接通PMOS電晶體M1。該電路可以為低至運算放大器最小電源電壓(AD8541為2.7 V)或PMOS元件閘極閾值電壓(ZVP2110A典型值為1.5 V)的交流電壓提供主動整流。在較低輸入電壓下,MOSFET的背閘極到漏極二極體接管,充當普通二極體整流器。
 
圖1.使用自供電運算放大器的主動半波整流器
 
圖2.使用自供電運算放大器試驗板電路的主動半波整流器
 
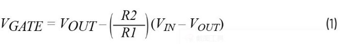
當VIN大於VOUT時,運算放大器將接通PMOS電晶體,公式如下:
 

其中(電壓以地為基準):
VGATE 為M1閘極的電壓。
VIN 為交流輸入電壓。
VOUT 為C1和RL處的輸出電壓。
輸入和輸出電壓可以與PMOS的漏源電壓VDS和閘源電壓VGS關聯起來,公式如下:
 
 
將這些公式組合起來,便可得到MOSFET閘極驅動與漏源電壓的函數關係:
 
如果R2的值是R1的21倍(1 MΩ/47 kΩ),則M1漏源電壓VDS上的75 mV壓降足以導通閾值電壓為–1.5 V的PMOS電晶體。R2與R1的比率可以更大,從而降低輸入到輸出電壓降或支援閾值電壓更高的電晶體。
 
運算放大器由輸出平整電容C1供電,因此不需要額外的電源。對於為該電路選擇的運算放大器有一定的要求。放大器必須具有軌對軌輸入和輸出,並且在電源軌附近工作時不會出現增益相位反轉。運算放大器的頻寬限制了電路的頻率響應。為了提升效率,該應用常常選擇低電源電流運算放大器,因此頻寬和壓擺率一般較低。在較高交流輸入頻率(可能高於500 Hz)下,放大器的增益將開始下降。AD8541單電源CMOS運算放大器滿足所有這些要求,並且電源電流低至僅45 µA。
 
硬體設定
使用自供電運算放大器的主動半波整流器的試驗板連接如圖2所示。
 
程式步驟
AWG1連接為VIN,應配置為幅度大於6 V峰對峰值、零偏移和100 Hz頻率的正弦波。示波器輸入用於監視電路周圍的各個點,例如VIN、VOUT、RS兩端的電壓,以及通過RS和M1閘極的電流。
 
開始時,C1使用220 µF的較大電容。220 µF和4.7 µF電容都是極化的,因此請務必將正極和負極正確連接到電路。
 
使用兩個示波器輸入監視VIN處的輸入交流波形和VOUT處的直流輸出波形。VOUT應該非常接近VIN的峰值。現在用更小的4.7 µF電容取代220 µF大電容。觀察VOUT處的波形變化。當VOUT的值最接近VIN時,將交流輸入週期的間隔與電晶體M1的閘極電壓進行比較。
 
 圖3.使用220 µF電容的VOUT和VIN Scopy圖
 
圖4.使用4.7 µF電容的VOUT和VIN Scopy圖
 
示波器通道2連接在分流器(即10 Ω電阻RS)兩端,使用測量特性獲取電流的峰值和平均值。將平均值與2.2 kΩ負載電阻RL的直流值進行比較,後者是根據VOUT測量電壓計算得出的。對220 µF和4.7 µF電容值重複此測量。
 
此電路的其他用途
一個僅允許電流沿著一個方向流動且開關兩端的壓降非常低的電路還有其他潛在用途。在電池充電器中,輸入電源可能是間歇性的(例如太陽能電池板或風力渦輪發電機),當輸入電源沒有產生夠高的電壓來為電池充電時,有必要防止電池放電。為此目的,一般使用簡單的蕭特基二極體,但正如背景部分所指出的,這會導致效率損失。使用工作電源電流夠低的運算放大器時,其電流通常可以低於大蕭特基二極體的反向漏電流。
 
問題:
請舉出幾個主動整流器的實際應用?您可以在 學子專區 部落格上找到答案。
 

電子郵件:look@compotechasia.com

聯繫電話:886-2-27201789       分機請撥:11