當前位置: 主頁 > 技術&應用 >
 

如何有效比較CMOS開關和固態繼電器的性能

本文作者:Stephen Nugent       點擊: 2022-06-19 10:56
前言:
摘要
源極和漏極之間的關斷電容CDS(OFF)可用來衡量關斷開關後,源極訊號耦合到漏極的能力。它是固態繼電器(如PhotoMOS®、OptoMOS®、光繼電器或MOSFET繼電器)中常見的規格參數,在固態繼電器資料手冊中通常稱為輸出電容COUT。CMOS開關通常不包含此規格參數,但關斷隔離度是顯示相同現象的另一種方法,關斷隔離度定義為,開關關斷狀態下,耦合到漏極的源極的訊號量。本文將討論如何從關斷隔離度推導出COUT,以及如何透過其更有效比較固態繼電器和CMOS開關的性能,這是重要的特點,因為CMOS開關適合許多使用固態繼電器的應用,例如切換直流訊號和高速交流訊號。
 
如何從關斷隔離度匯出 CDS(OFF)
圖1顯示 ADG5412的關斷隔離度與頻率的典型性能圖。該圖顯示,當源極上的訊號頻率上升時,關斷隔離度隨之降低。
 
 圖1.ADG5412關斷隔離度與頻率的關係(±15 V雙電源)。

表示隨著訊號頻率增加,源極上有更多訊號會出現在關斷開關的漏極。如果您觀察開關的等效電路在關斷狀態下的表現,如圖2中的測試電路所示,會發現這種狀況不足為奇。當開關處於斷開狀態時,源極和漏極之間存在寄生電容,即圖中的CDS(OFF)。這種寄生電容使高頻訊號能夠通過,關斷隔離圖就是為了確定這些特徵。
 
圖2.關斷隔離度測量測試電路。

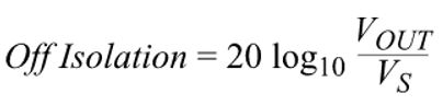
從圖2所示的測試電路中獲取VS和VOUT,然後將其代入以下公式中,以計算關斷隔離度: 
將從關斷隔離圖中得到的結果應用到開路開關的等效電路中,可計算得出CMOS開關的CDS(OFF)。首先,如果考慮關斷開關通道和負載,可以將電路視為高通濾波器,如圖3所示。
 
圖3.CDS(OFF)和RL高通濾波器。

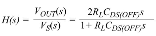
所示電路的轉換函數可以透過以下公式計算得出:
 
 
接下來,考慮源電壓VS及其阻抗,如圖2所示。源阻抗RS為50 Ω,與50 Ω負載阻抗RL匹配。假設在理想情況下,CDS(OFF)短路,那麼在阻抗相等時,VS為VIN的2倍。表示當根據VS計算轉換函數時,整個轉換函數會翻倍。
所以,整個系統的轉換函數為:
 
 
然後,可以將這個轉換函數代入關斷隔離度公式,得出:
 
 
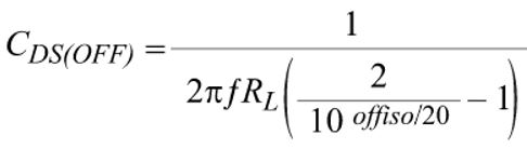
然後,重新變換該公式,求解CDS(OFF)的值:
 
 
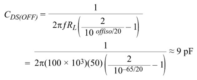
這表示如果知道RL、輸入訊號的頻率f,以及關斷隔離規格值(dB),就可以計算出CDS(OFF)。這些值可以在ADI產品系列中的開關或多工器產品的資料手冊中找到。以下示例將展示其執行步驟。
 
CDS(OFF)計算示例
本例使用受SPI控制的4路SPST開關 ADGS1612。ADGS1612的關斷隔離規格為−65 dB,可以在資料手冊中的表1中找到。根據關斷隔離規格的測試條件部分,RL為50 Ω,訊號頻率f為100 kHz。將這些值代入CDS(OFF)公式,可以計算得出電容值。
 
 
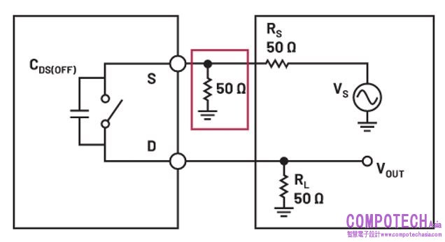
注意,在開關與多工器的關斷隔離測量電路中,在開關通道的源極接腳之前,可能包含一個額外的50 Ω端接電阻,如圖4所示。採用以這種方式測量得出的關斷隔離規格,仍然可以使用CDS(OFF)公式進行計算。但是,如果源極接腳使用50 Ω端接電阻(隨後用於CDS(OFF)公式中),需要在資料手冊提供的關斷隔離規格的基礎上加上6 dB。這是為了進行補償,因為源極的50 Ω端接電阻會使電壓減半,相當於−6 dB。
 
圖4.源極上具有50 Ω端接電阻的關斷隔離度測試電路。
 
CMOS開關與固態繼電器的關係
表1顯示從ADI產品系列中選擇的開關產品的CDS(OFF)值。 ADG54xx 和 ADG52xx 系列可以處理擺幅高達44 V的訊號電壓, ADG14xx 和 ADG12xx 系列則可傳輸擺幅高達33 V的訊號電壓。可比較訊號的範圍為30 V至40 V固態繼電器。表中的最後一列並顯示了如何使用CDS(OFF)和開關導通電阻來計算RON、CDS(OFF)乘積,在固態繼電器中,其被用於等第值(order of merit)。RON、CDS(OFF)乘積顯示在開關開啟時,對訊號的衰減影響非常小,以及開關在關斷時,阻截高速訊號的作用有多強。該表顯示 ADG1412 的RON、COFF乘積小於5,在市面上的固態繼電器中,這一點相當有優勢。
 
表1.在ADI產品系列中選擇SPST × 4開關的 CDS(OFF)

 

最大電源電壓

關斷隔離

CDS(關斷)

導通電阻

R × C

ADG5412

±22 V, +40 V

78 dB @ 100 kHz

4 pF

9.8

39.2

ADG5212

±22 V, +40 V

80 dB @ 1 MHz

0.32 pF

160

51.2

ADG1412

±16.5 V, +16.5 V

80 dB @ 100 kHz

3.2 pF

1.5

4.8

ADG1212

±16.5 V, +16.5 V

80 dB @ 1 MHz

0.32 pF

120

38.4

 
相較於固態繼電器,CMOS開關具有多項優勢。具體包括:
更易於驅動開關邏輯
ADI大部分CMOS開關的典型數位輸入電流為1 nA,而固態繼電器中二極體的推薦正向電流為5 mA。表示CMOS開關易於直接被微控制器上的GPIO控制。
 
更快的切換速度
ADG1412的典型開啟時間為100 ns,固態繼電器的開啟時間為幾百毫秒。
 
單一封裝內整合更多開關
例如, ADGS1414D 採用5 mm × 4 mm封裝,具有8個切換通道、1.5 Ω導通電阻和5 pF CDS(OFF)。也就是說,每2.5 mm2封裝面積內一個開關。
 
結論
開關在關斷狀態下阻截訊號的能力非常重要。在固態繼電器中,COFF規格用於衡量開關兩端的電容,其允許輸入訊號耦合到關斷開關的輸出。在CMOS開關中,不會直接測量此電容;但是,可以透過關斷隔離度規格來推算此電容。透過推導開路開關的轉換函數,可以使用關斷隔離度值(dB)、輸入訊號的頻率和負載電阻來確定CDS(OFF)。在比較CMOS開關和固態繼電器的COUT規格時,CDS(OFF)是一個重要值。此外,CDS(OFF)還可用於計算RON、CDS(OFF)乘積,這是一個等第值,用於顯示開關的整體關斷隔離和訊號丟失性能。這樣針對應用選擇開關時,就可以更直覺地對CMOS開關和固態繼電器進行比較選擇。相較於固態繼電器,CMOS開關也有諸多優勢,例如,更易於驅動切換邏輯、更快的切換速度,以及能夠在封裝中整合更多開關。
 
 
 

 

電子郵件:look@compotechasia.com

聯繫電話:886-2-27201789       分機請撥:11