當前位置: 主頁 > 技術&應用 >
 

學子專區 — ADALM2000實驗: 以NMOS做為電流鏡

本文作者:Antoniu Miclaus       點擊: 2021-06-21 16:54
前言:
作者:ADI系統應用工程師Antoniu Miclaus 及顧問研究員Doug Mercer
目標
本實驗的目的是研究增強模式NMOS電晶體作為電流鏡的工作原理。
 
背景
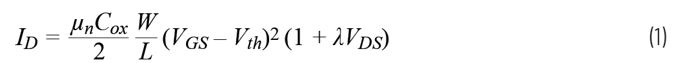
理論上,N型金屬氧化物半導體(NMOS)電流鏡的工作原理,與我們在2020年8月份學子專區文章中分析的雙極性結型電晶體(BJT)電流鏡相同。兩個具有相同閘源電壓(VGS)的相同電晶體將有相同的漏極電流ID。第二電晶體M2中的電流實際上是第一電晶體M1中電流的鏡像。MOS電晶體的漏極電流與閘源電壓具有如下關係:
 
 
其中,K = μnCox/2,λ可以認為是與製程技術相關的常數。
 
根據定義,相同電晶體具有相同的W/L和製程技術常數。在簡單電流鏡中,兩個電晶體具有相同的VGS。因此,兩個電晶體將有相同的ID。由於沒有電流流入,FET的閘極端子IIN = IOUT
 
材料
ADALM2000 主動學習模組
無焊麵包板
跳線
兩個1 kΩ電阻(阻值盡可能接近或者測量到三位元數或更高精度)
兩個小訊號NMOS電晶體(ZVN2110A或CD4007 NMOS陣列)
一個雙通道運算放大器,例如 ADTL082
兩個4.7 μF解耦電容
 
說明
一種測量電流鏡特性的好辦法如圖1所示。輸入電阻R1和輸出電阻R2現在都是1 kΩ。務必精準測量R1和R2的實際值,以確保電流鏡的輸入和輸出電流測量結果是精準的。IIN等於W1處的W2輸出電壓除以R1的值。IOUT等於示波器通道2測量的電壓除以R2的值。二極體連接的M1跨接在M2的閘極和源極端子上。
 
在電流鏡配置中,運算放大器作為電流鏡輸入節點的虛擬地,將來自W2的電壓階躍轉換為通過1 kΩ電阻的電流階躍。
 
圖1.NMOS電流鏡測試電路。
 
圖2.簡化測試配置。
 
硬體設定
載入適用於訊號產生器的W2通道的 stairstep.csv 檔,將幅度設定為3 V p-p,偏置設定為1.5 V。輸出元件M2的VDS由示波器輸入1+和示波器輸入1-進行差分測量。電流鏡輸出電流由1 kΩ電阻R2兩端的示波器輸入2+和示波器輸入2-測量。漏極電壓使用來自AWG 1(輸出W1)、頻率為40 Hz的三角波形進行掃描。如果您要使用運算放大器設定,請確保該元件已正確連接至電源Vp (5 V)和Vn (–5 V)。
 
圖3.NMOS電流鏡測試電路麵包板連接。
 
圖4.簡化測試配置麵包板連接。
 
步驟
配置示波器以捕捉多個週期的輸入訊號和輸出訊號。如果您要使用運算放大器配置,確保已開啟電源。
 
使用Scopy工具提供的示波器或透過LTspice®模擬繪製這兩個波形。示例如圖5和圖6所示。
 
圖5.Scopy繪圖中的電流鏡波形,W2為10 kHz頻率。

現在,將W1的頻率更改為200 Hz,然後繪製兩個波形。對相同電路使用LTspice模擬的示例如圖6所示。
 
圖6.LTspice繪圖中的電流鏡波形,W1為200 Hz,W2為40 Hz。
 
在本實驗中,我們透過實驗和模擬分析了採用NMOS電晶體的電流鏡,展示了 ADALM2000 和Scopy應用程式在建構真實電路時的使用。
 
問題
►你能說出NMOS電流鏡相對於BJT電流鏡的優勢嗎?
您可以在學子專區部落格上找到問題答案。
 
 
 

電子郵件:look@compotechasia.com

聯繫電話:886-2-27201789       分機請撥:11