當前位置: 主頁 > 技術&應用 >
 

如何在SEPIC轉換器中建構耦合電感模型

本文作者:Wei Gu       點擊: 2025-08-26 14:51
前言:
摘要
本文討論如何在單端初級電感轉換器(SEPIC)拓撲結構中建構耦合電感模型,並介紹建構正確模型的方法,以及提供了公式。如果未正確建構耦合電感模型,模擬結果可能與基準結果存在顯著差異。
 
引言
單端初級電感轉換器(SEPIC)拓撲結構允許輸入高於、等於或低於目標輸出電壓(圖1)。公式1顯示了連續導通模式(CCM)下轉換率與工作週期的函數關係。
 
在SEPIC轉換器中,輸入和輸出之間不存在直流路徑。對於需要在電路關斷時將輸出與輸入源斷開的應用,這比升壓轉換器更具優勢。相較於反馳式轉換器,SEPIC轉換器的優勢在於功率MOSFET和輸出二極體電壓均被電容(C1和COUT)箝位,因此功率MOSFET和輸出二極體上的電壓振鈴較小。SEPIC轉換器所需的輸入電容比反馳式轉換器更小。這是因為在SEPIC轉換器中,電感L1與輸入串聯,流過輸入的漣波電流是連續的。 
圖1.SEPIC轉換器。
 
給定工作輸入電壓範圍,並選擇了電感中的工作頻率和漣波電流後,可使用公式2來確定SEPIC轉換器的電感值(L1和L2不相關)。
 
 
對於大多數SEPIC應用,電感值將在1 µH至100 µH的範圍內。
透過使L1 = L2,並將它們捲繞在同一磁芯上,由於公式3所示的互感作用,公式2中的電感值將被2L取代。
 
 
耦合電感
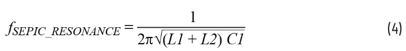
使用耦合電感可以減少所需的分立元件數量並顯著降低控制電路的複雜性,進而簡化SEPIC轉換器的設計。由此可以節省成本、精減尺寸並顯著降低小訊號模型的複雜性,透過消除公式4中計算的SEPIC諧振來實現更高的頻寬。 
 
雖然耦合電感的性能更卓越,但LTspice®中的模擬電感電流波形並不總是與基準結果匹配。這主要是由於耦合電感模型不準確造成的。
 
在LTspice中模擬耦合電感時,必須仔細留意耦合電感的模型。例如,在沒有增加相關洩漏電感的情況下,不要在模擬中將K設定為1。否則,模擬電感電流將變得不連續,如圖2所示。 
圖2.LT3758 SEPIC (K = 1)及其模擬電流波形。
 
耦合電感建模
為了正確建構耦合電感模型,如果K設定為1,則必須明確增加洩漏電感。此外,由於捲繞結構不同,兩個磁化電感也可能不同。圖3顯示了一個耦合電感模型,由於電感供應商通常不提供所需的值,因此需要進行基準測試才能獲得相應的數值。
 
圖3.耦合電感模型。
 
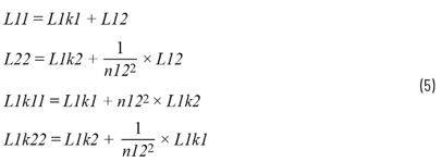
根據測量的資料計算這些參數,如公式5所示。
 
 
L11是次級開路時測得的初級自感,L22是初級開路時測得的次級自感,L1K11是次級短路時測得的初級電感,L1K22是初級短路時測得的次級電感。
 
在本示例中,測得的L11為46.66 µH,L22為45.78 µH,L1K11為0.725 µH,L1K22為0.709 µH。因此,計算得出n12為1.011,L12為46.374 µH,L1K1為0.286 µH,L1K2為0.429 µH。完整的耦合電感模型如圖4所示。
 
圖4.完整的耦合電感模型。
 
模擬結果與基準結果十分匹配。參見圖5。
 
在本示例中,測得的L11為46.66 µH,L22為45.78 µH,L1K11為0.725 µH。計算得出Lm為45.857 µH。計算得出K為0.992。
 
 
基於圖8模型的模擬結果也與該電感模型的基準結果非常匹配。
 
圖5.基準結果與模擬結果。
 
建構耦合電感模型的另一種方法是使用非單位耦合因數。在這種情況下,不需要明確指定洩漏電感,如圖6所示。 
圖6.具有非單位K的耦合電感模型。
 
為收集計算K所需的資訊,對耦合電感進行了相同的基準測試。具有雙埠參數的公式如圖7所示。
 
圖7.等效電路及其公式。 
圖8.具有非單位K的完整耦合電感模型。
 
結論
從LTspice模擬或基準測試中,有時會獲得並不理想的電感電流波形,令電源設計人員感到困惑。透過採用適當的耦合電感模型,模擬電感電流波形與基準結果將能達到匹配。
 
參考文獻
Robert W. Erickson和Dragan Maksimović,《Fundamentals of Power Electronics》第二版,Kluwer,2001年1月。
 

 

電子郵件:look@compotechasia.com

聯繫電話:886-2-27201789       分機請撥:11