當前位置: 主頁 > 技術&應用 >
 

Passives 被動元件 薄膜電阻與厚膜電阻有何差異?

本文作者:Alan Yang       點擊: 2025-03-11 20:17
前言:
薄膜電阻與厚膜電阻都是透過在耐熱基板的表面,塗覆一層薄膜狀的電阻材料而形成的電阻元件。本文詳細比較了薄膜電阻和厚膜電阻在特性上的差異,包括精度和功率、電流雜訊、溫度係數TCR等,為工程師的選型應用提供指南。

薄膜電阻與厚膜電阻的共同特徵在於,透過在耐熱基板的表面,塗覆一層薄膜狀的電阻材料而形成的電阻元件。薄膜與厚膜最直觀的差異就是這層“膜”(導電層)的厚度,厚膜電阻膜的厚度可以是薄膜電阻的上千倍。

但是單單理解到“膜”(導電層)的厚度的差異,在我們在設計電路以及選擇電阻時,依舊不知道該怎麼下手。今天就從三個方面:精度與功率、電流雜訊、溫度係數,來把薄膜電阻與厚膜電阻的差異給講清楚。

精度與功率上的差異
概括來說:
薄膜,主要針對精度而設計。
厚膜,主要針對功率而設計。 
圖1:薄膜電阻與厚膜電阻,在半透明外殼下呈現的圖案

薄膜電阻是用真空法澱積導電層,稱為濺鍍。這在陶瓷基板上形成一個薄而均勻的層,只有幾微米厚。然後,該層將經歷光刻或雷射蝕刻的過程。這決定了電阻值的精確度,容差極為精細,可低至0.01%,這樣的精度才使薄膜電阻如此有用。
 
厚膜電阻的導電層以漿的形式印製在陶瓷基板上,其厚度可以是薄膜電阻導電層的上千倍。這樣的厚度在處理高功率應用時具有性能優勢,而且製造成本也明顯低於薄膜電阻。然而,它在功率方面的優勢卻也使得其可預測性和精確性降低,容差可能高達 5%。
 
然後隨著薄膜電阻的發展,現在薄膜電阻與厚膜電阻功率上的差距越來越小,這折射出薄膜電阻的性能改進。

舉個例子:TE的RN73系列的0805型電阻,根據規格手冊,其額定功率為 0.1W(RN73系列規格手冊)。
 

TE的新款RP73P系列的0805型電阻,根據規格手冊,其額定功率可以達到0.25WC
RP73P 系列規格手冊)。
 

電流雜訊上的差異
電流雜訊是我們不希望的寬頻譜訊號,可以疊加在任何有用的訊號上,包括DC直流訊號。與其他被動元件一樣,電阻也是不同程度的雜訊源,具體取決於電阻值、溫度、施加電壓和電阻類型。

概括來說:薄膜電阻比厚膜電阻在電流雜訊上更有優勢。
薄膜電阻與厚膜電阻的電流雜訊比較
 
下面我們以Yageo RC電阻舉例,從微觀結構角度上,更好的說明了薄膜電阻與厚膜電阻在電流雜訊上的區別。  
圖2:薄膜電阻和厚膜電阻結構的差異(圖片來源:Yageo)

對於薄膜電阻,如上圖所示,從薄膜電阻的電阻層的微觀結構來看,只有金屬顆粒堆疊在一起形成精細的金屬膜。當電子在導電金屬層中移動時,它們可以從一個或多個導電晶格轉移到另一個晶格,並在沒有任何阻礙的情況下形成電流,這有助於防止雜訊產生。

對於厚膜電阻,如上圖所示,電阻層的材料由金屬和玻璃材料製成。玻璃材料是不導電的,所以電子不能穿過玻璃顆粒。電流的方向因這些玻璃顆粒而改變,並成為電流雜訊的來源。

薄膜電阻和厚膜電阻的雜訊測量結果
下圖是薄膜電阻和厚膜電阻的雜訊測量結果(資料來源於Yageo)。在不同頻率的雜訊水平下,薄膜電阻比厚膜電阻有更低的電流雜訊。
 
圖3:薄膜電阻和厚膜電阻的雜訊差異(圖片來源:Yageo)

對於一些音訊放大電路,薄膜電阻的低電流雜訊特性是的一個比較理想的方案,因為這類電路需要較低的失真,才能達到較高的音質。

更多內容請參考:Vishay:高階音訊應用選擇電阻(http://www.vishaypg.com/docs/49997/49997.pdf

小祕訣:不同電阻的成分差異 
碳膜電阻的尺寸通常較大,功率較小,公差較大,溫度係數也大,另外在高溫下會產生雜訊。從好的方面來說,它們比大多數電阻便宜,而且通常在更高的頻率下表現得很好。
陶瓷電阻具有較高的溫度係數,中等工作溫度範圍,通常比大多數電阻昂貴。
金屬元素電阻常用於電流感測中。它們精度高,阻值和公差都比較低。
金屬薄膜電阻具有良好的溫度穩定性,低雜訊,阻值範圍寬、公差小。
金屬氧化物薄膜電阻跟金屬薄膜電阻非常相似,但它們能更有效地承受突波電流,並承受更高的溫度等級。
厚膜電阻具有雜訊、突波容限低、溫度穩定性好、額定電壓高的特點。它們具有多種阻值。
薄膜電阻具有低雜訊、高壽命穩定性、低溫度係數和高阻值等特點。
繞線電阻適用於大功率、大電流應用場合。另一方面,它們雜訊高,電阻值低。無感選項也可用。
如果您正在尋找最廣泛的阻值範圍,厚膜或薄膜電阻將是您的最佳選擇。如果是高功率應用場景,薄膜和厚膜電阻值得考慮。

更多與小秘訣相關的內容,可參見:電阻的成分差異(https://www.digikey.cn/zh/forum/t/topic/336

溫度係數TCR上的差異
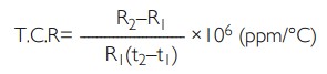
與任何電路一樣,電阻的特性也會隨溫度而變化,因此溫度的任何變化均會影響性能。所有電阻均會將不需要的電能轉化為熱量;所有電阻也都具有電阻溫度係數(TCR),用來描述電阻如何隨溫度的變化而變化。

什麼是溫度係數TCR?
電阻的溫度係數,闡述了觀察到的阻值如何隨電阻溫度的變化而變化。溫度係數通常以ppm(百萬分之一)每攝氏度為單位給出,與使用%/°C的單位相比,這節省了大量小數點後的零。數值可能是正的,也可能是負的,分別表示與溫度的正相關或負相關。這是一個總結數字,通常以範圍或限制最大值的形式給出,而實際電阻阻值不一定會線性變化。
計算公式: 
 
t1= +25 °C或特定室溫
t2= –55 °C 或 +125 °C測試問題
R1=參考溫度下的阻值
R2=測試溫度下的阻值

  概括來說:薄膜比厚膜電阻在溫度係數TCR上更有優勢。

薄膜電阻與厚膜電阻溫度係數TCR比較
    薄膜工藝製造的元件具有非常穩定的電阻,電阻隨溫度變化很小。與厚膜電阻的印刷工藝相比,透過濺鍍的金屬電阻層允許薄膜電阻具有低TCR。

   此外,由於薄膜電阻層和厚膜電阻層的成分之間的固有差異,薄膜電阻的電流雜訊也低於厚膜電阻。

   我們以Yageo的RT系列薄膜電阻以及RC系列厚膜電阻舉例:
RC0805,厚膜,0805,TCR的範圍±100ppm/℃到±300ppm/℃(RC0805規格手冊)。
RT0805,薄膜,0805,TCR的範圍±5ppm/℃到±50ppm/℃(RT0805規格手冊)。 
圖5 :Yageo薄膜電阻與厚膜電阻的TCR比較(圖片來源:Yageo)

更多內容請參考:Yageo:高精度薄膜電阻在低電流雜訊中的應用: https://www.yageo.com/upload/website/yageo_RT_whitepaper_final_21072213_521.pdf

DigiKey薄膜與厚膜電阻產品
    DigiKey網站有不同品牌的薄膜電阻與厚膜電阻,提供豐富的參數篩選項,如成分、溫度係數等各種參數。工程師可以根據應用要求和參數來挑選合適的電阻。 

圖6:DigiKey網站提供豐富的參數篩選項

本文小結
  新材料和製造工藝的改進,讓製造商能夠在不犧牲精度的同時,提高薄膜電阻的能力。儘管厚膜電阻在大規模生產應用以及功率至關重要的應用中,始終佔有一席之地,但隨著薄膜技術的進步,設計人員能夠在更廣泛的應用中獲得更精確可靠的結果。


 

 

電子郵件:look@compotechasia.com

聯繫電話:886-2-27201789       分機請撥:11