當前位置: 主頁 > 技術&應用 >
 

學子專區—ADALM2000實驗:主動濾波—第1部分

本文作者:Antoniu Miclaus       點擊: 2024-11-26 15:06
前言:
作者:ADI 系統應用工程師Antoniu Miclaus 及顧問研究員 Doug Mercer
目標
本實驗活動的目標是透過使用不同的主動濾波器電路研究主動濾波。
 
濾波器是電路理論的常見術語,用於配置相位或幅度等訊號特性。除了被動元件(即電阻、電容、電感)之外,主動濾波器還包含一個或多個主動元件,通常是運算放大器,可明顯改善濾波器性能、成本以及可預測性。主動濾波器還有一個優勢,那就是下一個電路級的負載阻抗不會影響濾波器特性,並且放大器的高輸入阻抗可避免濾波器的輸出負載過大。
 
濾波器的應用範圍廣泛,包括:
消除高增益放大器的直流偏置
分離訊號,僅允許目標訊號通過。例如無線電接收器,僅允許需要處理的目標訊號通過,而其餘訊號衰減。
消除類比數位轉換系統中的混疊
重建數位類比轉換系統輸出端訊號,消除高頻分量(諧波、採樣頻率)

理想濾波器的幅度回應,對於目標頻率是單位增益或有一定增益,對於其他頻率則為零。幅度回應從固定增益變為零的頻率被稱為截止頻率。
 
圖1為主要類型濾波器的理想回應狀態。 
圖1. 理想的濾波器回應
 
材料
ADALM2000 主動學習模組
無焊試驗板
四個1 kΩ電阻
三個10 kΩ電阻
一個470 Ω電阻
一個9 kΩ電阻(6.8 kΩ和2.2 kΩ電阻串聯)
一個2 kΩ電阻(兩個1 kΩ電阻串聯)
兩個1 nF電容
兩個10 nF電容
一個1 μF電容
五個精密運算放大器(OP37、OP27)
 
具有增益控制的主動低通濾波器
請看圖2所示的電路。
 
圖2. 具有增益控制的主動低通濾波器電路
 
該濾波器的頻率響應與增加運算放大器進行增益控制和放大的簡單被動低通濾波器的頻率響應相同。基本RC低通濾波器透過連接到運算放大器的同相輸入端來提供低頻率路徑。
 
輸出訊號幅度在通頻中以增益A放大,增益A取決於輸入電阻(R1)和回饋電阻(R2),與二者成函數關係。
 
 
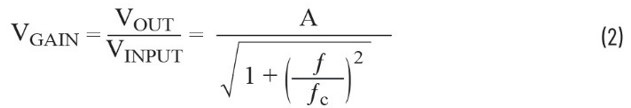
因此,一階低通濾波器的增益與頻率的函數關係為:
 
其中:
A =電壓增益
f =輸入訊號的頻率
fc =截止頻率
 
 
根據以上公式,可以看出,當頻率低於截止頻率時,與頻率有關的電路輸出的增益接近A;當訊號頻率等於截止頻率時,增益值為A/√2;而在頻率高於截止頻率的情況下,輸出電壓隨著訊號頻率的增加成比例下降。
 
硬體設定
在無焊試驗板上,建構圖3所示的主動低通濾波器。使用ADALM2000的正負電源,將正電源設定為+5 V,負電源設定為-5 V。
 
圖3. 具有增益控制的主動低通濾波器試驗板連接
 
程式步驟
打開Scopy網路分析儀,將通道1設定為參考。配置掃描範圍,起始頻率為10 Hz,停止頻率為1 MHz。將幅度設定為200 mV,偏置設定為0 V。在顯示設定下,將最大幅度設定為30 dB,最小幅度設定為-30 dB。將最大相位設定為+90°,最小相位設定為-270°。將樣本計數設定為100。重新打開電源,並運行單次頻率掃描。您應該會看到,幅度和相位與頻率的關係曲線和模擬結果非常相似。
 
圖4. 具有增益控制的主動低通濾波器的頻率響應
 
反相放大器低通濾波器電路
圖5所示電路為反相主動低通濾波器。與先前的濾波器配置不同,低頻輸入在運算放大器的反相輸入端饋送。 
圖5. 反相放大器低通濾波器電路
 
濾波器在通頻中充當反相放大器,增益A等於回饋電阻(R2)除以輸入電阻(R1)的商的相反數。
 
 
該電路的截止頻率的計算方法與同相主動低通濾波器電路相同。
 
硬體設定
建構圖6所示的試驗板電路。將正電源設定為+5 V,將負電源設定為-5 V。
 
圖6. 反相放大器低通電路試驗板連接
 
程式步驟
打開網路分析儀,將通道1設定為參考。配置掃描頻率,起始頻率為1 kHz,停止頻率為500 kHz,並將樣本計數設定為100。將幅度設定為200 mV,偏置設定為0 V。在顯示設定下,將最大幅度設定為30 dB,最小幅度設定為-30 dB。將最大相位設定為180°,最小相位設定為0°。重新打開電源,並運行單次頻率掃描。您應該會看到,幅度和相位與頻率的關係曲線和模擬結果非常相似。
 
圖7. 反相放大器低通電路頻率響應
 
具有增益控制的主動高通濾波器
現在來看圖8所示的下一個電路。 
圖8. 具有增益控制的主動高通濾波器電路
 
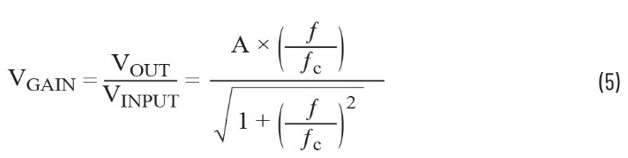
該濾波器電路是主動高通濾波器,允許高頻訊號通過並放大。電路包括允許高頻訊號通過的RC高通濾波器和用於增益控制與放大的運算放大器。該濾波器的頻率響應與被動高通濾波器相同。輸出訊號的增益A取決於輸入電阻(R3)和回饋電阻(R2),這與同相主動低通濾波器相同。
 
一階高通濾波器的增益與頻率的函數關係為:
 
其中:
➤  A = 電壓增益
➤  f = 輸入訊號的頻率
➤  fc = 截止頻率
 
硬體設定
建構圖9所示的主動高通濾波器電路。使用ADALM2000的正負電源。
 
圖9. 具有增益控制的主動高通濾波器電路
 
程式步驟
在Scopy網路分析儀上,將通道1設定為參考。將幅度設定為200 mV,偏置設定為0 V。在顯示設定下,將最大幅度設定為30 dB,最小幅度設定為-25 dB。將相位設定為-180°至+180°。將樣本計數設定為100。
 
重新打開電源,並運行從500 Hz到1 MHz的單次頻率掃描。
將結果與被動高通濾波器的理想頻率響應進行比較,可以看到主動高通濾波器的頻率響應受限於運算放大器的頻寬或開迴路特性。當達到頻譜中的某個點時,增益會隨著頻率增加而下降,使得整個響應看起來像是帶通濾波器。參見圖10。
 
圖10. 具有增益控制的主動高通濾波器電路
 
主動帶通濾波器
在前面的濾波器配置中,通頻僅由一個截止頻率決定,DC至截止頻率適用於低通濾波器,截止頻率以上適用於高通濾波器,與此不同的是,主動帶通濾波器有兩個截止頻率,主要為共同定義所選的頻率範圍。圖11所示為主動帶通濾波器的簡單配置。 
圖11. 主動帶通濾波器
 
該電路由三級組成。第一級是RC高通濾波器,定義較低截止頻率 fL,並對低於該截止頻率的訊號進行衰減。下一級是運算放大器,用於放大通過高通濾波器級的訊號。最後,RC低通濾波器級定義較高截止頻率 fH, 並對高於該截止頻率的訊號進行衰減。較高截止頻率和較低截止頻率之差決定了帶通濾波器的頻寬。
 
 
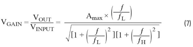
該濾波器的電壓增益透過下列公式計算得出:
 
其中:
➤  Amax =總電壓增益,可透過將高通級增益與低通級增益相乘得出
➤  f = 輸入訊號的頻率
➤  fL =較低截止頻率
➤  fH = 較高截止頻率
 
仔細看一下這個電路,這裡的主動帶通濾波器是一個二階系統。將一個低通濾波器與一個高通濾波器級聯,就可以得到二階帶通濾波器。濾波器具有兩個電抗元件(電容),將產生峰值響應,諧振頻率 fr是兩個截止頻率的幾何平均值。諧振頻率也稱為中心頻率,但在本實驗中,我們使用諧振頻率一詞。
 
 
除了定義諧振頻率的截止頻率,其並決定了濾波器的品質因數。該品質因數Q衡量的是濾波器的選擇性,定義為諧振頻率與頻寬之商。Q因數以及增益和諧振頻率共同表徵二階濾波器的頻率響應。
 
 
當Q大於1時,帶通濾波器的通頻較窄,而Q小於1時,通頻較寬。
 
硬體設定
建構圖12所示的試驗板電路。使用ADALM2000的正負電源。
 
圖12. 主動帶通濾波器試驗板連接
 
程式步驟
在Scopy網路分析儀上,將通道1設定為參考。將幅度設定為200 mV,偏置設定為0 V。在顯示設定下,將幅度設定為-10 dB至+25 dB,相位設定為-150°至+100°。將樣本計數設定為+100。
 
重新打開電源,並運行從100 Hz到500 kHz的頻率掃描。
 
圖13. 主動高通濾波器頻率響應
 
主動帶阻濾波器電路
將低通濾波器和高通濾波器組合起來可以實現另一類濾波器,即阻帶濾波器。
 
圖14所示的濾波器電路為主動帶阻濾波器電路。其工作原理與主動帶通濾波器恰好相反。該濾波器可遮罩和衰減較低截止頻率與較高截止頻率之間的頻率訊號,但允許DC至較低截止頻率以及較高截止頻率以上的所有頻率的訊號通過。
 
圖14. 主動帶阻濾波器電路
 
該電路由高通和低通濾波器組合而成。輸入訊號同時饋送至高通和低通濾波器的輸入端。然後,每個濾波器的輸出成為求和放大器的輸入,並予以放大。透過將低通濾波器與高通濾波器求和,其頻率響應不會重疊。與帶通濾波器一樣,帶阻濾波器也是二階系統。
 
帶阻濾波器對頻寬、品質因數和諧振頻率的定義與帶通濾波器相同。
 
與帶通濾波器類似,當Q小於1時,帶阻濾波器的阻帶較寬;當Q大於1時,阻帶較窄。窄頻帶阻濾波器被稱為陷波濾波器。圖14中的阻帶濾波器就是陷波濾波器的一個示例。
 
硬體設定
在試驗板上建構圖15所示的電路。將正電源設定為+5 V,將負電源設定為-5 V。
 
圖15. 主動帶阻濾波器電路試驗板連接
 
程式步驟
在網路分析儀上,將通道1設定為參考,並設定為對數掃描,掃描頻率為10 Hz至500 kHz,樣本計數為250。在波形設定下,將幅度設定為200 mV,偏置為0 V。在顯示設定下,將幅度設定為-30 dB至+30 dB,相位設定為-180°至+180°。重新打開電源,並觀察波形。
 
圖16. 主動帶阻濾波器電路頻率響應
 
問題:
相較於與被動濾波器,使用主動濾波器有哪些優勢?
答案請參閱學子專區部落格。
 

 

電子郵件:look@compotechasia.com

聯繫電話:886-2-27201789       分機請撥:11