當前位置: 主頁 > 技術&應用 >
 

ADALM2000 測量迴路增益

本文作者:Doug Mercer       點擊: 2021-07-19 18:05
前言:
作者:ADI顧問研究員Doug Mercer 及系統應用工程師Antoniu Miclaus
目標
本實驗的目標是採用電壓注入法,利用 ADALM2000 網路分析器功能和變壓器來測量負反饋系統的迴路增益,例如測量反相運算放大器增益。
 
背景知識
負反饋常用於控制系統中。圖1顯示了一個簡單的負反饋系統。
圖1. 負反饋系統。
 
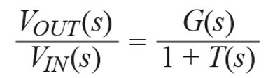
其中輸出電壓與輸入電壓的關係如下所示:
 
 
這個關係式被稱為閉迴路傳遞函數。T(s)被稱為迴路增益,由該迴路上所有增益得出,在本例中,T(s) = G(s) × H(s)。
 
有了迴路增益,我們可以利用奈奎斯特穩定性判據來確定增益和相位餘裕,以及確定閉迴路系統的穩定性。
 
系統的迴路增益可從系統的數學模型中得出。這類模型往往不會考慮現實中可能存在的寄生和有害影響。但這些模型對於測量負反饋系統的迴路增益是極為有用的。
 
迴路增益測量:
電壓注入法是測量負反饋系統迴路增益的一種方法。以下部分將詳細說明如何實施電壓注入法,以及為了獲得正確的結果應注意什麼。透過使用合適的注入變壓器(如ADALP2000 類比套件中包含的HPH1-1400L),我們可以在系統回饋迴路合適的注入點注入測試電壓。
 
圖2顯示了使用電壓注入法測量回饋系統迴路增益時的設定。在回饋迴路的注入點插入一個額定值較低的電阻,注入變壓器二次繞組跨接在注入電阻兩端,以施加測試電壓。這種連接方法可以實現測試電壓注入的同時,不改變系統的直流偏置工作點。

圖2. 電壓注入方法。
 
透過電壓探針,將網路分析器輸入連接至注入電阻的兩端。然後,透過測量從點A到B的複雜電壓增益來測量迴路增益:
 
 
其中T(s)表示測量得出的迴路增益, VSIG 和 VREF 表示網路分析器測量得出的電壓。
 
如果滿足以下兩個條件,則得出的迴路增益T(S)約等於實際的迴路增益。
 
條件1
回饋迴路上注入點處的前向電阻(H(s)部分的 (ZIN(s) 遠遠大於從注入點處後向的電阻 (G(s)部分ZOUT(s))。
 
 
條件2
為保證測量得出的迴路增益約等於實際的迴路增益,必須滿足的第二個條件是:

 
從這些條件我們可以看出,選擇一個滿足條件的注入點是非常重要的。
 
第一個條件通常運算放大器的輸出端可以滿足,一般情況下輸出端是低阻抗。其他合適的注入點通常位於高阻抗輸入端,例如運算放大器的輸入。
 
第二個條件的檢測難度較大,尤其是對於小迴路增益時。當測量結果高於交越頻率時,需要仔細檢查。
 
同時應儘量將注入電壓的量級保持在最低水準,以避免訊號產生較大影響,例如飽和度或其他會影響到測量結果非線性度的問題。
 
如果注入電阻的阻值相對較小,則不會直接影響到測量結果。電阻阻值一般可以設定為50Ω或小於50Ω。
 
變壓器的頻率響應和網路分析器的動態範圍會限制迴路增益的測量結果。在以下實驗設定中,我們會使用HPH1-1400L變壓器,它具備約10 kHz到5 MHz的可用頻率響應範圍。如果要測量更低頻率的迴路回應,則需要使用繞組電感更高的變壓器。將運算放大連接為反相放大電路,電阻比設定為H(s),使用類似HPH1-1400L 的寬頻變壓器(例如T1-6T (Mini-Circuits)或WB1010 (Coilcraft))足以觀測ADALP2000類比套件中的某些運算放大器的迴路回應近單位增益(0 dB)。
 
材料
ADALM2000主動學習模組
麵包板和跳線
2個10Ω電阻
1個100Ω電阻
2個1 kΩ電阻
1個10 kΩ電阻
1個OP27運算放大器
1個OP37運算放大器
1個OP97運算放大器
1個HPH1-1400L變壓器(或者其他變壓器,例如Mini-Circuits的 T1-6T,或者Coilcraft的WB1010)
2個0.1 μF電容(用於Vp和Vn電源的去耦)
 
指導
如圖3所示建構測量設定。注意Vn、Vp電源需要做去耦合處理,需要在運算放大器電源接腳(接腳7為+5 V,接腳4為–5 V)增加 0.1μF的電容(為簡化示意圖,該部分未在示意圖中顯示)。如果T1處使用的是HPH1-1400L變壓器,應將六個繞組中的三個在串聯起來作為原邊,將剩餘的三個繞組串聯起來作為副邊(查看變壓器組上的操作,瞭解更多詳細資訊)。電阻R1設定為1 kΩ, 為了測量三個運算放大器的不同迴路增益,電阻R2設定為1 kΩ或10 kΩ,使用R4和R5進行分壓的目的有兩個:第一,R4的電阻 為10Ω與回饋迴路中插入的電阻R3的阻抗匹配。ADALM2000中的 AWG無法直接驅動R4,100Ω電阻R5的引入可以增加負載電阻,使 AWG可以安全驅動。第二,R4、R5可以實現對訊號的衰減,我們可以將AWG的幅度設定至足以提供低雜訊訊號,同時保證向迴路注入的訊號夠小。
圖3. 迴路增益測量設定。
 
圖4. 迴路增益測量電路。
 
硬體設定
淺藍色區間表示連接ADALM2000模組AWG、示波器通道和電源的位置。確保在反覆檢查接線之後,再打開電源。
 
打開電源控制視窗,打開設定好的+5 V和–5 V電源。打開網路分析器工具,設定掃描起始頻率為10 kHz,停止頻率為5 MHz。最大增益為1×。將振幅設定為3 V,偏置設定為0 V。使用波特圖顯示,將可顯示的最大幅度設定為40 dB,顯示範圍設定為80 dB。 將可顯示的最大相位設定為180°,顯示範圍設定為360°。在通道選項中,點擊使用通道1 ,將其設為基準電壓源。將步驟數設為500。
 
步驟
首次測量我們採用ADALP2000套件中的低頻寬放大器OP97,其中 R1和R2均設定為1 kΩ。打開電源,開始掃描。注意迴路增益為單位值(0 dB)時的頻率,以及該頻率對應的相位。將掃描資料導出到.csv檔,以便採用MATLAB®或Excel進行深入分析。
掃描結果如圖5所示。
 
圖5. 迴路增益測量圖。
 
接下來,使用套件中的高頻寬放大器OP27更換OP97。在更換運算放大器之前,請務必關掉電源。更換完成後,重新打開電源,開始掃描。注意此時迴路增益為單位值(0 dB)時對應的頻率,以及該頻率對應的相位,將測量結果與OP97的測量結果進行比較。也可以將掃描資料匯出到.csv檔,採用Excel或MATLAB進行深入分析。完成以上操作後,我們使用10 kΩ電阻替代R2處原有的1 kΩ。更換後重新開始掃描。確定迴路增益為單位值(0 dB) 時的頻率變化,以及該頻率對應相位的變化,將結果與R2等於1 kΩ時的結果進行對比。
 
最後,使用套件中的OP37放大器更換OP27。在將運算放大器從電路中取出之前,仍需要關掉電源。更換完成後,重新打開電源並開始掃描。記錄迴路增益為單位值(0 dB)時的頻率,以及該頻率對應的相位,並將結果與使用OP27放大器(R2為10 kΩ)時的測量結果進行比較。將掃描資料匯出到.csv檔,以便採用Excel或MATLAB進行深入分析。
 
問題:
對於圖3所示的迴路增益測量設定,為何要在電路中使用R2和R3?
你可以在學子專區中找到答案。
 

電子郵件:look@compotechasia.com

聯繫電話:886-2-27201789       分機請撥:11