當前位置: 主頁 > 技術&應用 >
 

透過精準匹配的電阻網路提高差分放大器的共模抑制比

本文作者:Thomas Brand       點擊: 2019-04-15 11:41
前言:
在各種應用領域,採用類比技術時都需要使用差分放大器電路,如圖 1 所示 。例如測量技術,根據其應用的不同,可能需要極高的測量精度。為了達到此一精度,盡可能地減少典型誤差源 (例如失調和增益誤差,以及雜訊、容差和漂移) 是非常重要的。有鑑於此,高精度運算放大器的使用是需要的。放大器電路的外部元件選擇也同等重要,尤其是電阻,它們應該具有匹配的比值,而不能任意選擇。
 

圖 1:傳統的差分放大器電路。

理想情況下,差分放大器電路中的電阻應仔細選擇,其比值應相同 (R2/R1 = R4/R3)。如果這些比值有任何偏差都將導致不良的共模誤差。差分放大器抑制這種共模誤差的能力以共模抑制比 (CMRR) 來表示。它表示輸出電壓如何隨相同的輸入電壓 (共模電壓) 而變化。在最佳情況下,輸出電壓不應該改變,因為它只取決於兩個輸入電壓之間的差值 (最大 CMRR);但是,實際使用中情況會有所不同。CMRR 是差分放大器電路的重要特性,通常以 dB 來表示。

對於圖 1 所示的差分放大器電路,CMRR 取決於放大器本身以及外部連接的電阻。對於後者,取決於電阻的 CMRR 在本文下述部分以下標“R”表示,並利用下式計算:
  
    (1)
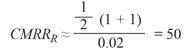
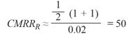
例如,在放大器電路中,所需增益 G = 1 且使用容差為 1%、匹配精度為 2% 的電阻產生的共模抑制比為
 

或以 dB 來表示
     (2)
 
在 34 dB時,CMRRR 相對較低。在這種情況下,即使放大器具有非常好的 CMRR,也無法實現高精度,因為鏈路的精度總是取決於其精度最差的環節。因此,對於精密的測量電路而言,必須非常精確地選擇電阻。

實際使用中傳統電阻的阻值並不恒定。它們會受機械負載和溫度的影響。根據需求的不同,可以使用具有不同容差的電阻或匹配電阻對 (或網路),其大部分使用薄膜技術製造並具有精確的比值穩定性。利用這些匹配的電阻網路 (如 LT5400 四通道匹配電阻網路),可以大幅提高放大器電路的整體 CMRR。LT5400 電阻網路在整個溫度範圍內具有出色的匹配性,結合差分放大器電路使用則匹配性更佳,因而可確保 CMRR 比分立電阻提高兩倍。
 

圖 2:帶有 LT5400 的差分放大器電路。

LT5400 提供 0.005% 的匹配精度,從而使 CMRRR 可達到 86 dB。

然而,放大器電路的總共模抑制比 (CMRR ) 由電阻 CMRR 和運算放大器共模抑制比 CMRROP 的組合構成。對於差分放大器,可利用公式 3 計算:
 
    (3)
 
例如,LT1468 提供的 CMRROP 典型值為 112 dB,採用 LT5400 的增益為 G = 1,其 CMRRTotal 的值為 85.6 dB。

或者,可以使用整合式差分放大器,如 LTC6363。這種放大器在單晶片中內置放大器和最佳匹配電阻。它幾乎消除了上述所有問題,同樣也可提供最大精度,其 CMRR 值達 90 dB 以上。

結論
必須根據差分放大器電路的精度要求仔細選擇外部電阻電路,以便實現系統的高性能。或者,可以使用整合式差分放大器,如在單晶片中整合了匹配電阻的 LTC6363。
 

電子郵件:look@compotechasia.com

聯繫電話:886-2-27201789       分機請撥:11