無線電力傳送,所能夠採用技術並不少;WPC組織所策劃的規範聚焦於電磁誘導;高通與三星主導的新組織A4WP(Alliance for Wireless Power)也於2012誕生;磁場共鳴方式,有多家公司展示與研發,不過本文將重心擺在『電場耦合方式』。參考世上僅有村田製作所以及田中工務店研究所的發表論文,將這門技術作一個總探索。提醒您一下,小心此方面領域的佈局專利網!
無線供電應用跨及手機、數位相機、平板、筆電、與汽車。人人睜著大眼在看。
說到無線電力的傳送技術,一般所使用的分類,係依據頻率以及無線電力傳送的方式來加以分類,無妨將之分為四大類,分別是:
². 電磁誘導(electromagnetic induction)。此乃研究開發歷史最為長久的方式,在電動牙刷、刮鬍刀、無線電話產品線上;早已被消費者所認同與接受。業界的標準化組織WPC(Wireless Power Consortium),就是以此方式制定了標準規範。
². 電磁共鳴,或說電磁耦合( electromagnetic coupling)。磁場共鳴的方式,可以隔離數米之遠,隔空傳送電力是其魅力。至於,電場耦合技術的研發算是少數派,日商村田製作所以及田中工務店是典型的代表廠商。


若是從頻率軸來觀看,電磁誘導可以有商用電源50/60Hz以及使用較高頻率20~40KHz的方式。而電磁偶合是以10MHz附近來動作;微波送電是在GHz頻帶;而雷射送電則是在THz的頻帶。
(A).電磁誘導,乃是使用電流流經一次側線圈時所產生的磁場,傳送2次側線圈電力的現象。WPC組織所策定的規格就是利用此種方式,最初的5W規格『Volume 1:Low Power』已經於2010/7發行。滿足這個規格的iPhone 4專用充電器已經能夠在市面上尋得。
家庭用小電力機器,是主力應用。電磁誘導方式,若是線圈有所偏移,傳送特性會惡化,對於線圈形狀有所制約。對於線圈的發熱、金屬異物的誘導加熱都要考量。


(B).電磁場偶合(電磁共鳴)是藉由磁場耦合與電場耦合,可利用共振來進行電力傳送。
(C). 微波送電則是善用GHz平面波的電磁波,利用傳送天線將電磁波放射出去;而接收天線汲取無線傳送電力的技術。
(D). 雷射送電則是運用了THz的雷射傳送,原理與太陽光能發電一樣,利用半導體來接收,將光變換為電氣之電力傳送技術。
(C )與 (D)就是將電磁波作為能量,藉由傳送接收進行電力傳送。(A)的電磁誘導與(B)的電磁場偶合,則是運用了非放射的能量。
注:WPC已經開始5~120W規格的制定作業。
注:美商Qualcomm與Samsung等公司於2012另成立A4WP(Alliance for Wireless Power)團體,針對消費性產品推廣無線供電規格。
電場耦合、無線供電方案(1 )–村田製作所技術 分析:
若是來回顧CEATEC Japan 2010電子綜合性大展,村田製作所展示了自行車機器人”Type ECO”,就是搭載了這個技術。也是在這個時候,正式開始販賣2W輸出的評估套件;也就是商品化的濫觴。
針對諸如iPad之類的裝置,輸出10W的傳送電模組與接收電模組,進入可量產階段。(送電模組編號LQWS10TTEA-014;接收電模組為LQWS10RTEA-014)。

注:村田製作所於2008年就開始這方面的研究,2010年邁入事業化。
所謂地電場耦合方式,”是在電極近接之際形成的靜電容量,施加交流電壓,利用了靜電誘導的作用來傳送電力的方式”。
關於利用電場來傳送電力的技術,可以見到的提案還有取入共振的電場共鳴方式以及不採用共振的Active Capacitor電路方式。
電場耦合的特徵
首先,來看電場耦合的特徵:
特徵之一:位置的自由度比較高。
在電極上電場等方向延伸,送收電極面相對時容易形成靜電容量。因此,對於水平方向而言,比起使用線圈的電磁誘導方式,供電範圍較為寬廣。
下圖乃是位置偏移時,傳送效率的比較。明顯可以看出實現了較高的位置自由度。

特徵之二:電極的形狀、材質制約較少。電極薄型化。
由於在電場的結合部分沒有流經電流,不見得有必要去採用銅、銀等優良導體;依據形狀使用ITO透明電極或是網狀電極,多是可能的。為了迎合時尚潮流的設計,因此,電極的輕薄短小可以扮演魔術師;若是併用高介電率,可以將電場關進到局部的地方,電場的結合部分可以更為簡潔凝練。
下圖乃是智慧型手機的樹脂框體形成範例。受電裝置的框體上形成了薄膜狀的電極;這個電極就是作為電場的結合部來使用。

特徵之三:電場的結合部分發熱很少。
電場的結合部分是交流電壓帶電平面狀導體,通過電流極為微小,導體本身不會過熱。發熱來源的電路部份與電場的結合部分分離;對於熱能比較軟弱的裝置(好比說電池)之近旁形成了電場的結合部分。
這個概念可以利用下圖來解釋。

接著,來談電場結合的構造與動作原理。
●非對稱的Dipole構造
依照村田所公佈的論文顯示,其電力傳送系統的基本構造,係一「非對稱的Dipole」構造,如下圖所示:

注:這個構造係村田的獨有專利,專利編號為PCT/FR2006/000614。
在受電側部份,具備了高阻抗負荷(負載)非對稱電氣Dipole構造;在送電側部份,具備了高電壓、微小電流的交流電源之非對稱電氣Dipole構造。構成非對稱Dipole的兩個電極,分別區別為主動電極(active electrode)以及被動電極(passive electrode)。主動電極相對於被動電極形狀比較小,於是,呈現出非對稱Dipole構造。藉由Dipole構造的非對稱性,主動電極保持有高電位,電場集中於主動電極部分。而且,配置方面利用被動電極挾住了主動電極。被動電極是低電位,往往的場合是作為基準電位(也就是接地用途)。
送電側部份有振盪器,受電側部份有負載。動作基本原理是交流帶電Dipole之間庫倫的相互作用。相互靠近電場集中的主動電極時,透過誘導電場(靜電誘導),從送電側將電力傳送到受電側。
電場能量(reactive energy),蓄積在Dipole的周邊,電力的傳送範圍也就侷限於主動電極的近旁。滿足λ>> D關係的頻率是動作的必要條件。此處λ是指傳送頻率所對應的波長,而D是Dipole的外型吋法。在λ~ D的場合,送電側部份與受電側部份,本身成為Dipole的天線對遠方放射電磁波。如圖所示,該兩個非對稱電氣Dipole,配合中心軸以垂直縱方向配置的時候,相互作用很強。
●電場的結合部分
相互作用的兩個非對稱電氣Dipole,可以用4導體系來描述。其概念圖如下圖所示。

電極1、電極2以及振盪器構成了送電側部份的Dipole。電極3、電極4以及負荷構成了受電側部份的Dipole。為了構成Dipole的非對稱性,主動電極(電極2、電極3)的周圍集中電場成為高電場,被動電極部分(電極1、電極4)周圍乃是低電場。
物理條件(電極形狀、誘電特性)所決定的容量係數Cij,作為四導體間相互結合的表示。若是物理條件相當明確,容量係數可以透過數值解析(比如說,有限要素法)來計算。傳送媒介乃是準靜電場,電荷分布(qi)與物理條件,決定了電場分布以及各個導體的電位分布(Φi)。

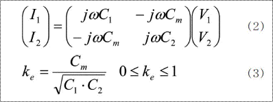
Dipole電氣上呈現中性。因此,存在著q1+ q2 = 0、q3 + q4 = 0的關係。若是著目於電力傳送的場合,可以導入等效並列容量(C1,C2)、等效相互容量(Cm)以及結合係數(Ke),來描述數學式1的兩端子等效電路;如下圖所示:

這個等效電路,就可以由底下的定義數學式來記述。

結合係數乃是介於電場結合部分,表示了物理結合度的指標。數值越大,表示結合越強。結合係數相依於電極的形狀、電極週邊的誘電特性;一般的數值範圍約為0.2 ~ 0.7。傳送電力P正比於 f‧C‧V2的關係;因應傳送電力也就決定了等效相互容量(Cm)的下限。一般約是數pF ~ 100 pF的程度。當電場結合部的形狀小時,欲增加傳送電力的場合,可以併用高介電率的誘電體來增加平均單位體積的容量。
接著下來,就可以來探討「電力傳送部份」的構成以及特性。
●電力傳送系的構成
這個傳送系的功能方塊圖如下,也一併秀出了各個方塊的電壓數字等級。

在送電側,將交流信號作放大‧升壓,在送電電極利用了電壓來激振。送電電極以及受電電極,由於電場的結合,利用驅動頻率反覆地帶電‧誘導。電場結合部分阻抗高,是以高電壓、微小電流來動作
在受電側,受電電極所誘導的交流電壓經過降壓電路之後,經過整流回路轉換為直流。一般來說,在整流回路與負載之間會插入DC-DC轉換器或是充電控制電路來供給負荷(比如說,充電電池)安定化的電壓‧電流。
為了簡化起見,利用正弦波產生器以及放大(增幅)電路來描述,實際上它的構成是直流電源與開關(switching)電路。升壓部分‧降壓部分,除了可以使用卷線變壓器之外,若是要達成低輪廓化,也可以選用”壓電變壓器”;也可以使得共振的動作更具有高效率化。追加升壓部分‧降壓部分的模式概念圖,如底下所示:

仔細來看以上的構成,可以說是使用變壓器的高阻抗非對稱Dipole的送電回路結合了負載(負荷)回路。
● 傳送系統的等效電路
電路的構成有多樣化,以串列共振電路為範例,係用相互容量結合的構成;它的簡單等效電路如下圖所示:

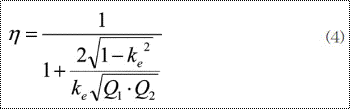
在送電部份、受電部份追加了誘導性元件。為了簡化起見,各個線圈以電感(L1,L2)以及Q factor(Q1,Q2)來表示。Pin乃是輸入電力(功率),負載的消耗電力為Pout;那麼電力傳送效率(η)就可以用數學式子來定義:
η = Pout/Pin
為了來呈現電力傳送效率的計算結果,分別採用了四種電路的種類來觀看結果;
u. 僅有容量結合部分的構成。
v. 受電回路追加了L2的構成。
w. 送電迴路追加了L1的構成。
x. 送電迴路追加了L1、受電回路追加了L2的構成。
假定Q1=Q2=100,適當地調整傳送效率最高的負載。電力傳送效率的計算結果如下圖所示:

明顯地,可以看出在結合係數較低的場合,各個電路的構成非常不同。而且,送電回路追加了L1、受電回路追加了L2的構成其效果最為優良。當結合係數較高的場合,提高Q Factor(Q值)是高效率化的要點。即使結合係數較低,提高Q Factor也可以彌補效率。
電路x的電力傳送效率(η)就可以用下式來表示:

還有一個問題,利用這個原理,電力傳送效率以及傳送電力的關係又是如何呢?依據村田製作所試做的實驗機器顯示了下圖的結果:

其中,主動電極形狀為40mm,電極之間的距離4mm;實際驅動頻率170KHz ~ 200KHz。不僅電力傳送部份,也包含了AC/DC變換電路、DC/AC變換電路。實驗後的結果確認了兩件事情:
Æ. 傳送電力約可以動作到40W。
Æ. 電力傳送效率超過85%(可以說是高效率傳送)。
●應用實際範例
既然,在原理上以及實驗上都獲得了不錯的驗證結果。那實際的應用試驗又是如何呢?
範例一:對平板的充電
這個試作機器的構造,是如此來規劃的。平板可以用外部的外殼(Jacket)來裝著。這個外殼護套(Jacket)也就是內建了受電功能(電極、受電模組、DC-DC轉換器)。裝著外殼的平板可以立於送電台。電極之間對向來送電。若是水平方向供電的可能領域,約± 15mm。

範例二:複數個裝置的充電
這是近幾年來,大型電子展上常常見到的展示方式。也就是藉由一個充電台來對多數個裝置進行充電。一般的做法是將充電台做成平面狀的構造,受電機器安裝上具備充電機能的護套,放置於充電台即可。若是因應受電機器的位置來切換局部送電電極之驅動,可以提高結合係數(耦合係數),降低不需要的電場,對效率面有利。

● EMI暨安全性問題
任何的技術若是要產品化,對於EMI以及安全性問題必須做好處理與合乎相關的規定。
由於這個技術乃是利用非放射電場,故不會有放射電磁波;而是要去留意裝置近旁的電場洩漏問題。因此,EMI的測量專注於”雜訊端子電壓(傳導放射)”。傳送電力10W、傳送頻率200 ~ 300KHz的評估測試結果如下圖,結果合乎CISPR22 Class B的雜訊規格。由於電場可以利用靜電遮蔽,若是有電場洩漏的疑慮,可以採用薄導電膜的對策。

在安全性方面,由於電場結合部分是高阻抗,流經電流極為微小;不過,採用了高電壓(~ 1KV),有些措施還是需要加以考慮。
. 設計時,將電極部分絕緣起來,利用裝置框體來隱藏電極部分。讓使用者不會直接接觸到電極。
. 受電裝置僅有在與送電機器搭載的場合,才會進行電力傳送的動作。
. 內建多數個監視指標來常時追蹤,若是異常變動而觸發,停止動作的機能(系統控制回路,類比電路等)。
至於,對於人體的影響,無妨參考ICNRP的國際性指引,來評估洩漏電場的強度。
Copyright © 2002-2026 COMPOTECH ASIA. 陸克文化 版權所有
聯繫電話:886-2-27201789 分機請撥:11