當前位置: 主頁 > 專題報導 > 科技前瞻 >
 

半導體尺度極致微型化之後……量子世界終將來臨!

本文作者:任苙萍       點擊: 2021-12-23 11:29
前言:
「量子霸權」(Quantum Supremacy) 或「量子優越性」(Quantum Advantage) 等詞語曾因谷歌 (Google) 2019 年發表 54 量子位元 (qbits) 處理器「Sycamore」(梧桐樹) 而轟動一時 (當然,也不免伴隨著質疑聲浪),但量子電腦真的只能停留在「為超越而超越」的實驗競技,而不見實際應用價值?此外在實驗的道路上,硬體的物理平台選擇與軟體的演算法建構,層層都是關卡,何時可見真正的「通用型」量子電腦?在許多國家攜手學術界傾力推動量子科技之際,企業界的參與將加速銜接應用。

鴻海扣關量子科技,「離子阱」為何雀屏中選?
台灣五年前在科技部推動下,集結清大、台大、成大、中央四所大學開始發展量子運算,現已見雛形,政府近期亦再推五年量子科技計畫。為何知名企業和國家研究單位皆爭相卡位量子電腦研究?台灣量子電腦暨資訊科技協會理事長張慶瑞這麼形容:量子科技的影響就如同二戰前的曼哈頓計畫,競逐結果將會左右未來世界勢力的消長。量子競爭將是「實驗室取代戰場、科學家取代戰士、頭腦取代槍炮」的戰爭。繼矽谷之後,加拿大滑鐵盧首先喊出成立「量子谷」(Quantum Valley),荷蘭、美國芝加哥和中國也展現強烈企圖心。
 
照片人物:台灣量子電腦暨資訊科技協會理事長張慶瑞

近日,2021 年甫成軍量子研究所的鴻海科技集團,再率產業之先設立「離子阱 (Ion trap) 量子計算實驗室」切入量子硬體。鴻海董事長暨鴻海研究院院長劉揚偉在鴻海研究院聯袂台灣量子電腦暨資訊科技協會舉辦的第二屆「NExT FORUM - QUANTUM COMPUTING」活動表示,量子科技可視為驅動人工智慧 (AI)、新世代通訊、半導體、資通安全變革的重要技術。台灣雖起步較晚,但完整半導體產業鏈將是發展量子電腦的最佳助力,應在關鍵技術建立一系列容錯計算、量子感測/通訊/密碼系統等知識產權 (IP),並積極投入硬體研發、設計和製造。
 
照片人物:鴻海董事長暨鴻海研究院院長劉揚偉

劉揚偉指出,隨著電腦硬體效能增長幅度趨緩及傳統電腦的運算能力成長趨近飽和,現在正是投入量子科技的關鍵時刻。鴻海主張,量子運算能否應用在實務的關鍵在於量子硬體,量子位元晶片則是其核心基礎元件。經過他們專業評估,離子阱硬體平台在多項量子效能的核心指標皆相對優異,包括:量子位元構造的一致性和「相干時間」(coherence time,即通訊領域的「同調時間」) 的長短、閘極操作的傳真度 (fidelity)、操作溫度和擴充性。於是,鴻海決定投入晶片型離子阱、微型化真空、集成光學與電路、堆疊、封裝等技術。

四大物理平台競技:超導體、離子阱、光子、半導體自旋
論壇中提及,由鴻海量子研究所主導開發量子編譯器並尋求與業界合作,願景是在五年內推出 5~10qbits 的開源可編程離子阱量子電腦供台灣社群教學或訓練使用,並作為中長期量子電腦可擴展平台的原型。專精實驗原子物理技術開發及應用 (量子氣體、模擬、感測、運算),也是鴻海量子實驗室主要負責人的中央研究院原子與分子科學研究所張銘顯博士斷言,量子技術已從科技遠景變成未解難題的出路。就實務面來說,引領半導體長達半世紀的摩爾定律若還能繼續適用,十年後電晶體將微縮至一個原子大小,屆時電晶體所遵循的操作原理將會失效。
 
照片人物:鴻海量子實驗室主要負責人張銘顯

張銘顯還提到,中央處理器 (CPU) 成長速度放緩,即使是圖形處理器 (GPU) 也快趕不上 AI 運算需求,所以量子技術發展勢在必行,最被寄予厚望的有四大物理平台:超導體 (superconductor) 和離子阱是最領先者,另有光子 (Photon) 與半導體系統。其中,離子 (帶正電原子) 是最天然、最高品質的量子位元,單一同位素的物理特性完全相同——不須人工製造,可避免累積大量誤差,而離子阱具有同調時間最長 (近 1,000 秒)、運算誤差最低的優點。離子阱量子電腦實驗室通常有五大區塊:原子物理、離子阱晶片、積體光學、先進電路和量子編譯器。

他並帶我們回顧原子物理曾歷經三波風光時刻:一是廿世紀初以實際物理系統模型建構原子力學;二是雷射的發明讓光品質及原子光譜大躍進;三是 1990 年代的雷射冷卻,讓被動觀察到主動控制原子。眼下原子系統的難點在於如何操控,不同物理平台其實比拼的就是「原子操控術」,目標是內、外在及所有自由度,直至量子力學極限,旨在組成「構件」(building block) 及量子電腦。「現有平台的共同挑戰是如何擴充,離子阱利用電場或磁場將離子俘獲和囚禁在一定範圍內的裝置,是很好的起始點」,張銘顯說。

離子阱&半導體自旋:擴充潛力高,但知易行難
離子阱最重要的應用是質譜儀。離子阱中的離子被一個快速旋轉的電場束縛住並排成陣列,每一個離子可經由雷射達到量子位元的初始化,用來儲存、讀取、邏輯運算量子位元。透過雷射激發的集體運動能幫助遠距的離子交互作用,不必依靠實體導線完成任意位元間的邏輯運算。此外,雷射冷卻技術是極其重要的關鍵技術,可在毫秒內將離子降至絕對零度;在超高真空中,更能將原子以外的硬體都保持在一定低溫。關於物理系統平台的選擇,身為研究先驅,從事量子運算、資訊、控制多年的台大物理系教授管希聖則向半導體「自旋」(spin) 靠攏。
 
照片人物:台大物理系教授管希聖

管希聖親揭原因:自旋系統的「相干時間」較超導體長,且自旋量子是固態系統,擴充潛力高——就像一個晶片可容納更多電晶體。管希聖說明,自旋尺度約落在 30~200nm 之間,近似電晶體,以成熟半導體製程即可實現;反觀「超導體」一個量子位元有 200~300µm,若要容納百萬個 qbits,恐需一整個資料中心的空間才夠!製程或應用皆不具成本效益。他曾在 2019 SEMICON 介紹量子科技:量子雖然也是 0 與 1 的疊加 (Stack),但不同於傳統 0、1,它是多個維度向量糾纏 (entanglement,亦稱「纏結」)而成,是可同時存在的多重態。

1998 年有學者提出以一個五價磷原子取代四價矽原子做共價鍵結,讓多出的一個價電子形成導電電子再利用核自旋產生量子數,此即為矽基「半導體量子點」(semiconductor quantum dot) 濫觴。理論上,自旋量子位元製程節點選擇多且相當穩定,但實務操作並不容易實現,直到 1999 年澳洲啟動五年計畫才見苗頭。經過十多年努力,澳洲才在 2011 年問世首個量子電腦 (此計畫迄今仍存續),惟目前仍停留在 2qbits 水準。因為兩個量子位元以上有電氣雜訊問題,有賴以「電路」為單位的超導體克服,IBM 發佈的 53qbits 量子電腦便是基於此。

利於「容錯」,超低損耗「氮化矽」波導光子蓄勢待發
可惜礙於物理特性,超導體須在絕對零度下工作且材料昂貴,距離商業化量產還有很長一段路。兩年多前同場參與 SEMICON 座談的比利時微電子研究中心 (IMEC) 總監 Iuliana Radu 博士說明,建構超導量子位元構件簡單說就是在兩者之間構建超導體能量分佈,設計與製程相對簡單;製程上,從 300mm 晶圓沉積超導體開始,關鍵是沉積晶粒/晶體尺度的過程將對器件性能產生巨大影響,必須清楚找出問題點、快速表徵的方法和最簡單的測量方式。IMEC 強調,找到正確的製程及發送材料的過程組合至關重要,且必須不受加載數量影響。

Radu 當時就挑明:「量子位元擴充性」是一大考驗:為降低最終出錯率,需使用大量的量子位元進行編碼,同時又須確保量子資訊不會因「去相干」(開放量子系統的量子相干性,會因為與外在環境發生量子糾纏而隨時間逐漸喪失,故須極力消除) 以及其他量子雜訊所引起的錯誤,「量子錯誤校正」(QEC) 是另一個焦點議題,龐大的量子位元數量是最終容錯的主要障礙。為此,IMEC 日前與全端 (full-stack) 光子量子運算公司 Xanadu 宣佈合作開發基於超低損耗氮化矽 (SiN) 波導 (Waveguide) 光子的量子位元,運算力可大幅拉升至「百萬個」qbits。
 
 

圖1:在 IMEC 先進的 200mm 生產線上製造帶有光子集成電路的 SiN 晶片  

2020 年 12 月,中國科學技術大學曾發佈使用 76 個光子的量子電腦「九章」,並宣稱是第二個實現量子優越性的國家。然而,相較於傳統光子量子運算依賴由矽波導製成單光子源、易受非確定性操作的影響,IMEC 新型 SiN 光子量子位元是基於壓縮態——由整合晶片的矽光子器件所產生的特殊光取代單光子作為合成量子位元的基礎,可規避不確定性問題、以提取 GKP 代碼的網格態;在此架構進行多路復用 (Multiplex) 和運算,更有利於容錯。Photon-based 的量子電腦,亦正酝釀脫胎換骨的改變。

量子科技有賴「技術能力、投資規模、高階賦能科技」護持
工研院電子與光電系統研究所研發組長暨台大電機系教授吳育任分享,量子位元物理雖複雜,但其後的微波控制、雷射、真空、III-V 半導體的波導技術卻是台灣強項;這些技術需從源頭整合,工研院期協助產業將儀器/設備整合到系統,例如,串接控制量子位元的回授電路及讀取。台灣可結合半導體專長尋找量子商機,例如,離子阱就亟需單光子雪崩光電二極體 (SPAD) 低溫檢測儀器/設備。工研院致力於技轉到產業並使其應用至高頻微波通訊、衛星通訊、低溫 CMOS (互補式金屬氧化物半導體) 等其他領域,協助產業從中獲利以支援發展量子產業。
 
照片人物:工研院電子與光電系統研究所研發組長暨台大電機系教授吳育任

身兼台大 IBM NTU 量子中心主任、也是「NExT FORUM」座談主持人的張慶瑞預言,量子科技未來很可能形成所謂的混合系統 (Hybrid System),此刻正是「量子召喚青年、青年創業量子」的時代。談到獲利的可能性,他笑說離子阱量子運算公司 IonQ 堪為楷模,從 2015 年創業基金 200 萬美元到 2021 年 10 月在美國那斯達克掛牌,市值已從 20 億美元飆漲到 70 億美元,表現亮眼。不過張銘顯坦言,股價不等同於企業獲利,但它的確標誌著看好未來性及典範轉移 (Paradigm shift),技術能力和投資規模將攸關台灣能否順利參與。

「這背後需要很多高階賦能科技配合,包括高階製造能力;台灣已在智能製造佔有一席之地,是很好的切入點」,張銘顯說。擅長以原子、光子、分子進行量子模擬和控制的美國芝加哥大學物理系教授金政博士認為,半導體尺度微型化是大勢所趨,在可預見的未來走向量子是必然的結果;量子科技並不侷限在運算,不同量子物理平台在儲存、通訊、運算不同領域各有優劣,但嚴格來說沒有一個方案真正可行,有待基礎科學一連串突破,建議強化產學之間的合作介面,並藉由科學營等活動為學子往下扎根,搶在技術平台底定前建立競爭優勢。
 
照片人物:美國芝加哥大學物理系教授金政

儀器和教育可望是量子世界首波獲利者
值得玩味的是,張慶瑞描繪:「一如唐詩、宋詞、元曲,我們將從古典地球進到量子地球,而淘金熱發生前的跡象就是教育和賣工具的人最先賺到錢」;無獨有偶,金政亦認同量測儀器和教育可望是量子世界的首波獲利者。身為量測大廠的是德科技 (Keysight),顯然也及時洞見此一趨勢;量子策略部門主管 Joseph Emerson 表示,量子運算力會隨著晶片的量子位元指數型成長,可用來解決物流、製藥及材料科學等領域所面對的難題,默克 (Merck)、空中巴士 (Airbus)、BMW 和摩根大通 (JPMorgan) 等公司皆已涉足,以求解決產業所面臨的難題。
 
照片人物:是德科技 (Keysight) 量子策略部門主管 Joseph Emerson
 
第一步就是打造量子運算晶片。Google、IBM 和新創公司 Rigetti Computing 投入超導量子位元開發,漢威聯合 (Honeywell) 和 IonQ 鎖定離子阱,PsiQuantum 鑽研光子,而英特爾 (Intel) 致力於半導體自旋量子研究。許多大廠都致力於探索如何打造實現穩固量子運算所需的技術。Emerson 以火車 vs. 火箭妙喻:火車依其軌道運行,具有可預測性和確定性,受限於預定的軌道;火箭帶領我們進入全新境地,但定位導航卻是個課題,必須在三度空間裡決定其軌道、監控軌道,確定已偏離軌道多遠並據以修正回到正確路線,量子運算也面臨類似挑戰。
 
傳統電腦使用位元串 (0、1 排列組合) 處理這些位元得到一個位元串 (解決方案),但量子位元存在一個連續空間,進行量子運算意味著要在連續空間推動這些量子位元。難就難在:該連續空間不只三度,它是一個維度非常高的抽象空間——「希爾伯特空間」(Hilbert Space)。成功的量子運算須精確地在該抽象空間進行路徑導航。此一量子世界的特性完全是數學邏輯,非憑直覺理解;事實上,我們只能進行有限的精準控制。更糟的是,來自傳統場域、推動這些量子位元的微波場域的有限精度誤差經過量子運算會被累積放大,最後導致錯誤解方。
 
量子誤差校正:即使控制存在缺陷或不準確,仍無礙運算
 除了要達到準確的控制,還須應對「量子相干性」——量子疊加和糾纏後的現象。量子相干性賦予量子電腦運算能力,但非常脆弱,對來自環境、波動場域、基質中的二能階波動以及真空中不完美的情況非常敏感,對量子電腦運算結果的影響極大。是德科技憑藉在控制電子學的專長以及不斷進化成長的軟體技術,能提供克服此量子電腦導航難題所需之最佳對策。「增加量子位元數固然會讓量子運算力指數級躍升,但限制運算能力的不同誤差模式數量亦會呈四倍指數成長」,Emerson 說。

受邀參與是德科技年會的滑鐵盧大學量子運算研究所創始董事、現為 Mike & Ophelia Lazaridis 量子奈米中心量子資訊科學 (QIS) 主持人的 Raymond LaFlamme 表示,使用量子力學規則取代傳統物理學來進行資訊運算、操作、轉換或儲存,威力驚人。量子運算可運用於密碼學等棘手工作,未來我們使用的將是具有量子靈活性的新型密碼,還能用於物理、材料科學、化學或藥物開發等領域,是創新循環的一部分。以好奇心為始,藉由了解物理現象、如何運作,進一步建立理論,找到控制這些現象的方法,將它們應用在工作中並發展相關技術。 
 
照片人物:滑鐵盧大學量子運算研究所創始董事/Mike & Ophelia Lazaridis 量子奈米中心量子資訊科學 (QIS) 主持人 Raymond LaFlamme

然須留意的是,量子系統規模越大,越難精準控制。所幸,有別於電腦科學的「邱奇—圖靈」(Church-Turing) 理論——所有電腦的初始設計應提供相等的運算能力,「量子誤差校正」理論告訴我們:只要將控制準確度維持在一定水準,即使對這些裝置的控制存在缺陷或不準確,仍無礙運算。因此,必須了解雜訊的特性、品質和樣貌,借助量子標竿測試可持續改善控制的裝置並達到量子誤差校正所需的門檻;它還提供另一種「隨機編譯」協定形式,是使用量子誤差校正體現雜訊的一種方法。

Google AI 量子團隊:致力於誤差校正,消除物理性風險
Google AI 量子團隊產品經理 Alan Ho 分享,他們正著手進行兩項重大實驗:一是如何使用現有量子電腦尋找有效應用,二是從 54qubits 開始,期在未來十年間打造一個具有千個邏輯量子位元的誤差修正量子電腦。Google 目前有兩個重要里程碑:一款能執行運算任務的量子電腦,以及一個邏輯量子位元的原型。當增加誤差更正碼規模時,能使用量子電腦以指數級的威力抑制錯誤,隨時間進展,可逐漸提升誤差校正量子電腦的規模。這些量子位元不會失去其相干性 (即使經過一段很長的時間也一樣),並且能利用這些邏輯量子位元執行閘運算。
 
照片人物:Google AI 量子團隊產品經理 Alan Ho 
 
之後,物理性的風險就會被消除。如此,就能擴大系統規模以打造一個誤差校正量子電腦,而 10 的 4 次方是建立由邏輯量子位元組成的邏輯閘之重要突破點 (即 10,000 個量子位元)。奠基於 Google 自有架構,封裝可在低溫恆溫器最底部進行,並自行開發具備微調及控制每個單獨量子位元能力的校驗軟體與客製化的微波電子機制來控制這些量子位元,同時進行專用晶片 (ASIC) 研究以達成控制量子位元的目的。Alan Ho 解釋,由於量子位元本身就容易發生錯誤,當增加量子位元數,也必須改善這些量子位元的品質。
 
為兼顧量子位元的數量與品質,「多量子位元特性分析」是關鍵,而隨機電路抽樣是常用技術。藉由建立一量子位元閘層和二量子位元閘層的組成,能在一個處理器上跨越每一個單一量子位元延伸糾纏。使用這些電路進行分析並檢視結果,再與傳統電腦上的理想電路模擬進行對比——稱為「交叉熵」(Cross-entropy) 標竿測試。Alan Ho 指出,隨機電路抽樣非唯一可用的分析型式,Google 也使用是德科技的「循環標竿測試」完善既有多量子位元技術;集成隨機標竿測試、循環標竿測試和雜訊重建,能提供精準且詳細的熱圖 (即晶片各處發生的所有錯誤)。

 

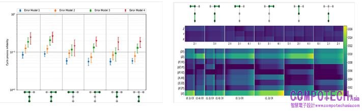
是德科技「True-Q」診斷軟體,探查效能極限誤差
要確認何種錯誤導致量子運算偏離軌道就像大海撈針,而是德包括隨機編譯以及減輕錯誤、降低誤差工具的「True-Q」診斷套裝軟體是好幫手。2021 年中自 Quantum Benchmark 公司 (取義自量子標竿測試,很貼切的企業命名不是?) 併購而得的「True-Q」可協助發現效能極限誤差是多少?從何而來?採用策略是否成功限制誤差?是跨越平台和應用程式的解決方案,全端量子運算先驅 Rigetti Computing 公司亦是「True-Q」的受惠者。Rigetti 將超導量子位元的結構劃分成更小的單獨矽晶粒,可降低製造難度,並在製造後處理階段檢查每一顆晶粒是否有故障。
   
   圖2:「True-Q」軟體提供一流的錯誤診斷,以了解並消除發生在所有量子位元和量子電路持續時間內的錯誤處理,使量子硬體製造商能了解其量子電腦中存在的雜訊  
 
若符合標準,就可將它導入一個規模更大的處理器架構。有鑑於每導入一項處理器新元件,ASIC 可能故障率都會指數性增加,恐將阻礙應用程式在處理器的順利運作。「True-Q」可解決處理器限定誤差率的問題,藉此打造超導量子運算系統並透過雲端提供存取。是德繼 2016 年收購專精離子阱硬體的 Signadyne、2019 年收購開發超導量子位元技術軟體控制方案的 Labber 後,近期再收購能跨越所有平台進行誤差特性分析、並抑制錯誤誤差問題的軟體公司 Quantum Benchmark。

量子運算魅力:「指數級」資訊處理能力
不僅如此,是德還廣泛參與量子經濟發展聯盟,並贊助 Women Quantum 和麻省理工學院 (MIT)、工程量子系統小組 (EQuS) 等超導量子專案計畫,已然成為量子運算生態系要角。以量子力學 (目前科學家公認宇宙運行的法則) 為基礎的量子科技是一種機率波,其原理是原子內部的電子震動狀態可疊加、干涉 (interference),其中,0 與 1 的疊加態即為「量子位元」,而不同量子位元間可具有不同的量子關聯性,包括糾纏。疊加後的量子資訊可被電腦並行處理,運用量子演算法則,可讓並行運算後的狀態干射出最可能的結果。

量子運算最迷人之處是:多個量子位元可建構出「指數級」的資訊處理能力,來容納、計算龐大而複雜的問題。然單就運算力而言,量子電腦雖已被證實並行能力優於傳統,但若不能發展出問題導向、具有邏輯的演算模型,充其量只不過是專家口中所戲稱的「亂數產生器」罷了!或許在可預見的未來,量子與傳統相互為用,協作解決龐大而複雜的算式——例如,對隨機量子電路的輸出分佈進行抽樣 (先行輸入定向隨機數列,再讓它們在能量空間盡可能找出有效樣本),搭配傳統電腦在前端或後端針對別具意義的有效樣本進行精確計算,是較務實的作法。
 

 

電子郵件:look@compotechasia.com

聯繫電話:886-2-27201789       分機請撥:11